Was macht ein glückliches Leben aus?
Von Alexander Maß 04. Dezember 2023
In einer Welt, die oft vom Streben nach Erfolg und finanziellem Reichtum bestimmt wird, zeigen aktuelle Forschungsergebnisse, dass der Schlüssel zu echtem Glück an unerwarteten Orten liegt. Dieser Artikel beleuchtet Faktoren, die zu unserem Wohlbefinden beitragen, und betont die wichtige Rolle, die körperliche Aktivität und Beziehungen für ein erfülltes Leben spielen.
Während mehr als 80 % aller Studienanfänger danach streben, reich zu werden (1), gibt es immer mehr Hinweise darauf, dass ein glückliches Leben eng mit körperlicher Aktivität verknüpft ist. Eine systematische Untersuchung und Metaanalyse zahlreicher großer Kohortenstudien ergab einen starken (um andere Risikofaktoren bereinigten) Zusammenhang zwischen körperlicher Aktivität und einem deutlichen Rückgang der Gesamt- und speziell auch der kardiovaskulären Mortalitätsrate bei Männern und Frauen.
Zusammenhang zwischen körperlicher Aktivität und Gesamtmortalität sowie kardiovaskulärer Mortalität / Relative risk of all-cause mortality in physically active versus physically inactive participants (fully adjusted models). (2)
Somit führt also ein moderates Maß an täglichem bzw. wöchentlichen Training zu einer Verringerung des Sterberisikos. Eine langfristige prospektive Kohortenstudie, die in Taiwan durchgeführt wurde, unterstreicht die Bedeutung körperlicher Aktivität zusätzlich. Personen, die nur 15 Minuten pro Tag Sport trieben, hatten ein um 14 % geringeres Sterberisiko und eine um drei Jahre längere Lebenserwartung. Alle weiteren 15 Minuten täglicher Bewegung über die Mindestmenge hinaus führten zu einer Reduzierung der Gesamtmortalität um 4 % und einer Reduzierung der Gesamtkrebsmortalität um 1 %.
Tägliche körperliche Aktivitätsdauer und Reduzierung der Gesamtmortalität (3)
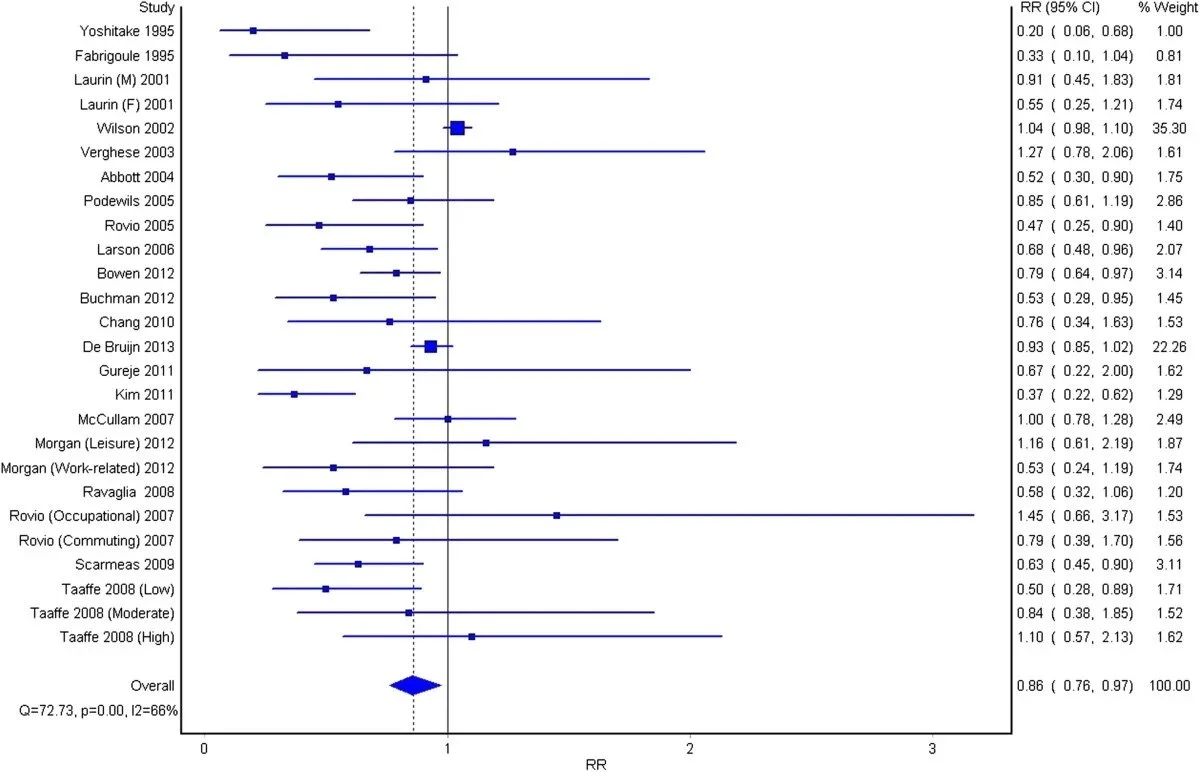
Die Vorteile von Bewegung beschränken sich nicht nur auf die körperliche Gesundheit. Langzeitstudien belegen einen Zusammenhang zwischen einem höheren Maß an körperlicher Aktivität und einem geringeren Risiko für kognitiven Verfall und Demenz. Eine Metaanalyse aus dem Jahr 2014 ergab, dass Teilnehmer und Teilnehmerinnen mit höherer körperlicher Aktivität ein um 35 % geringeres Risiko für einen kognitiven Verfall und ein um 14 % geringeres Risiko für Demenz hatten.
Körperliche Aktivität beugt kognitivem Verfall und Demenz vor (4)
Die psychische Gesundheit und das Wohlbefinden der Menschen wird weiterhin von einem anderen wichtigen Faktor geschützt: die Zufriedenheit in der Partnerschaft. Robert Waldinger, Professor an der Harvard Medical School, Psychiater am Massachusetts General Hospital und eine herausragende Persönlichkeit in der Glücksforschung, betont die tiefgreifende Wirkung von Beziehungen auf das allgemeine Wohlbefinden (5). In einer seiner Studien fand er zusammen mit andern Forschern heraus, dass Personen, die sich sicher an ihren Partner gebunden fühlten, weniger depressiv und glücklicher in ihren Beziehungen waren und außerdem über bessere Gedächtnisfunktionen verfügten als Personen mit häufigen Beziehungskonflikten (6).
Das Forscherteam um Waldinger fand zudem heraus, dass die Beziehungszufriedenheit auch eine schützende Wirkung der auf die physische Gesundheit hat. Personen in glücklichen Beziehungen berichteten von weniger emotionalen und körperlichen Schmerzen, was den Einfluss positiver Beziehungen auf das allgemeine Glück und die Gesundheit verdeutlicht (7). Einsamkeit ist ihm nach so gefährlich wie Rauchen oder Alkoholismus (8).
Zusammenfassend lässt sich sagen, dass das Lebensglück nur bis zu einem gewissen Punkt vom finanziellen Erfolg abhängt. Entscheidend sind vor allem körperliche Gesundheit und gute soziale Beziehungen. Ob es sich um die wöchentliche Trainingsroutine handelt oder um eine gute Zeit mit Freunden und Familie – der Schlüssel zu einem wirklich glücklichen und gesunden Leben ist möglicherweise einfacher als wir denken.
In meinen Klassen könnt ihr regelmäßig mit mir etwas Sport machen. Ein kleiner Beitrag zum gesunden und glücklichen Leben.
☀️
Quellen
(1) Stolzenberg et al. (2018): The American Freshman: National Norms Fall 2018, p.45. URL: https://www.heri.ucla.edu/monographs/TheAmericanFreshman2018.pdf.
(2) Nocon et al. (2008). Association of physical activity with all-cause and cardiovascular mortality: a systematic review and meta-analysis. European Journal of Preventive Cardiology. - https://ve42.co/Nocon2008.
(3) Wen et al. (2011). Minimum amount of physical activity for reduced mortality and extended life expectancy: a prospective cohort study. The lancet. - https://ve42.co/Wen2011 as shown in: What The Longest-Running Study on Happiness Reveals - youtube.com/@veritasium.
(4) Blondell et al. (2014). Does physical activity prevent cognitive decline and dementia?: A systematic review and meta-analysis of longitudinal studies. BMC public health. - https://ve42.co/Blondell2014.
(5) Waldinger, R., & Schulz, M. (2023). The Good Life: Lessons from the World's Longest Scientific Study of Happiness. Simon and Schuster.
(6) Waldinger R. J., Cohen S., Schulz M. S., Crowell J. A. (2015). Security of attachment to spouses in late life: concurrent and prospective links with cognitive and emotional wellbeing. Clin. Psychol. Sci. 3, 516–529. doi: 10.1177/2F2167702614541261, PMID: - DOI - PMC -PubMed.
(7) Waldinger R.J., Schulz M.S. (2010). What’s love got to do with it?: Social functioning, perceived health, and daily happiness in married octogenarians. Psychology and Aging, 25(2), 422–31. - PMC - PubMed.
(8) Liz Mineo (2017): Good genes are nice, but joy is better. The Harvard Gazette, Health and Medicine. URL: https://news.harvard.edu/gazette/story/2017/04/over-nearly-80-years-harvard-study-has-been-showing-how-to-live-a-healthy-and-happy-life/ as mentioned in: What The Longest-Running Study on Happiness Reveals - youtube.com/@veritasium.
